بازدید :
11
زمان ارسال :
1 روز پيش
بازدید :
11
زمان ارسال :
1 روز پيش
کانال : آکادمی نیک درس
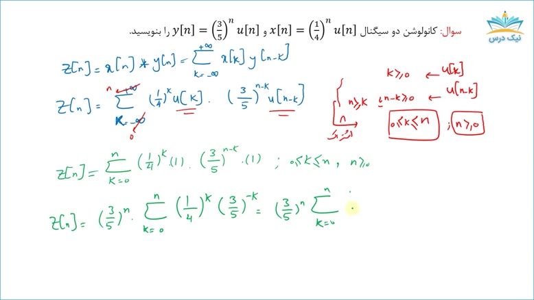
درس سیگنالها و سیستمها (Signals and Systems) یکی از مهمترین و کلیدیترین دروس رشتههای مهندسی برق، مخابرات، کنترل و کامپیوتر است که یادگیری آن برای درک مفاهیمی مثل پردازش سیگنال، سیستمهای LTI، فیلترها، تبدیل فوریه و تحلیل سیستمها ضروری میباشد. یکی از بخشهای بسیار مهم و پرکاربرد این درس، مبحث کانولوشن (Convolution) است که پایهی تحلیل بسیاری از سیستمها محسوب میشود.
در این آموزش از آکادمی نیک درس، مبحث مهم کانولوشن در سیستمهای LTI زمان گسسته (Discrete-Time LTI Systems) به صورت کاملاً مفهومی و مرحلهبهمرحله تدریس شده است. در این جلسه یاد میگیرید چگونه با استفاده از پاسخ ضربه (Impulse Response) و عملیات کانولوشن، خروجی سیستم را برای ورودیهای مختلف محاسبه کنید و مفهوم دقیق کانولوشن را به صورت تحلیلی و کاربردی درک نمایید.
کانولوشن یکی از مباحثی است که بسیاری از دانشجویان در حل تمرینها و سوالات امتحانی با آن مشکل دارند، اما در این آموزش تلاش شده است با توضیح ساده و مثالهای قابل فهم، این موضوع به صورت کامل آموزش داده شود تا بتوانید در حل مسائل سیگنالها و سیستمها تسلط بیشتری پیدا کنید.
آکادمی نیک درس با ارائه آموزشهای تخصصی دانشگاهی، هدف دارد مفاهیم پیچیده مهندسی را به زبان ساده و استاندارد تدریس کند تا دانشجویان بتوانند در امتحانات دانشگاه، کنکور ارشد و پروژههای مهندسی موفقتر عمل کنند.
اگر به دنبال یادگیری اصولی مبحث Convolution در سیستمهای LTI گسسته هستید، این آموزش یکی از بهترین گزینهها برای تسلط بر این موضوع مهم خواهد بود.
📌 مشاهده آموزش کامل از طریق لینک زیر:
https://nikdars.com/edu/mahsig01-00061-signals-and-systems/?utm_source=mp4.ir&utm_medium=clip_signal&utm_campaign=nikdars
توضیحات :
درس سیگنالها و سیستمها (Signals and Systems) یکی از مهمترین و کلیدیترین دروس رشتههای مهندسی برق، مخابرات، کنترل و کامپیوتر است که یادگیری آن برای درک مفاهیمی مثل پردازش سیگنال، سیستمهای LTI، فیلترها، تبدیل فوریه و تحلیل سیستمها ضروری میباشد. یکی از بخشهای بسیار مهم و پرکاربرد این درس، مبحث کانولوشن (Convolution) است که پایهی تحلیل بسیاری از سیستمها محسوب میشود.
در این آموزش از آکادمی نیک درس، مبحث مهم کانولوشن در سیستمهای LTI زمان گسسته (Discrete-Time LTI Systems) به صورت کاملاً مفهومی و مرحلهبهمرحله تدریس شده است. در این جلسه یاد میگیرید چگونه با استفاده از پاسخ ضربه (Impulse Response) و عملیات کانولوشن، خروجی سیستم را برای ورودیهای مختلف محاسبه کنید و مفهوم دقیق کانولوشن را به صورت تحلیلی و کاربردی درک نمایید.
کانولوشن یکی از مباحثی است که بسیاری از دانشجویان در حل تمرینها و سوالات امتحانی با آن مشکل دارند، اما در این آموزش تلاش شده است با توضیح ساده و مثالهای قابل فهم، این موضوع به صورت کامل آموزش داده شود تا بتوانید در حل مسائل سیگنالها و سیستمها تسلط بیشتری پیدا کنید.
آکادمی نیک درس با ارائه آموزشهای تخصصی دانشگاهی، هدف دارد مفاهیم پیچیده مهندسی را به زبان ساده و استاندارد تدریس کند تا دانشجویان بتوانند در امتحانات دانشگاه، کنکور ارشد و پروژههای مهندسی موفقتر عمل کنند.
اگر به دنبال یادگیری اصولی مبحث Convolution در سیستمهای LTI گسسته هستید، این آموزش یکی از بهترین گزینهها برای تسلط بر این موضوع مهم خواهد بود.
📌 مشاهده آموزش کامل از طریق لینک زیر:
https://nikdars.com/edu/mahsig01-00061-signals-and-systems/?utm_source=mp4.ir&utm_medium=clip_signal&utm_campaign=nikdars
تگ ها:
0نظر ثبت شده
آموزش سیگنالهای تناوبی و تغییر مقیاس دوره - آکادمی نیک درس
آموزش سیگنالهای پایه و اساسی - آکادمی نیک درس
آموزش خواص سیستمها - آکادمی نیک درس
آموزش فرکانس و پاسخ سیستمهای LTI - آکادمی نیک درس
آموزش تبدیل فوریه و ویژگیها - آکادمی نیک درس
آموزش کانولوشن در سیستمهایLTI زمان گسسته - آکادمی نیک درس
آیا از حذف این لیست پخش اطمینان دارید؟
0نظر ثبت شده
لیست پخش ایجاد شد.
نظر شما ثبت گردید و پس از تایید منتشر خواهد شد.